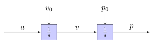
A simple block diagram.
Author: Kjell Magne Fauske
Edit and compile if you like:
\documentclass{article} \usepackage{tikz} \usetikzlibrary{arrows} \begin{document} \pagestyle{empty} % \tikzstyle{int}=[draw, fill=blue!20, minimum size=2em] \tikzstyle{init} = [pin edge={to-,thin,black}] \begin{tikzpicture}[node distance=2.5cm,auto,>=latex'] \node [int, pin={[init]above:$v_0$}] (a) {$\frac{1}{s}$}; \node (b) [left of=a,node distance=2cm, coordinate] {a}; \node [int, pin={[init]above:$p_0$}] (c) [right of=a] {$\frac{1}{s}$}; \node [coordinate] (end) [right of=c, node distance=2cm]{}; \path[->] (b) edge node {$a$} (a); \path[->] (a) edge node {$v$} (c); \draw[->] (c) edge node {$p$} (end) ; \end{tikzpicture} \end{document}
Click to download: nav1d.tex • nav1d.pdf
Open in Overleaf: nav1d.tex